Formula For Acceleration 8Th Grade

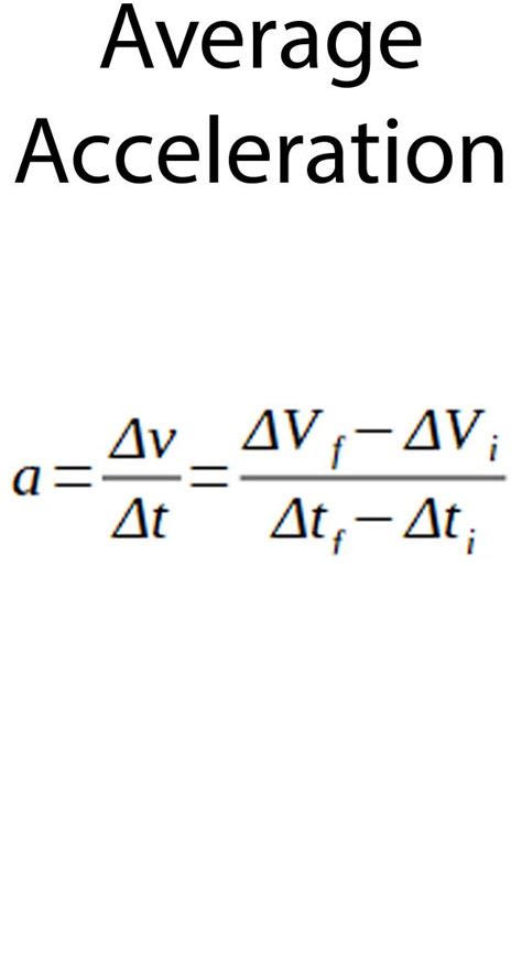
Formula For Acceleration 8Th Grade. V ( f) − v ( i) t ( f) − t ( i) in this acceleration equation, v ( f) is the final velocity while is the v ( i) initial velocity. Web the average acceleration is the total change in velocity divided by the total time.

ShowMe speed, velocity, acceleration 8th grade
ShowMe speed, velocity, acceleration 8th grade from www.showme.com

A = 4 m/s 2. For a given interval of. Web the 9.8 m/s^2 is the acceleration of an object due to gravity at sea level on earth.

The Smaller The Mass Of An Object,.


For example, when a car brakes it decelerates. Web in this video, i solved some basic applications of the formulas derived according to the second law of motion. Web the 9.8 m/s^2 is the acceleration of an object due to gravity at sea level on earth.

But What Is The Second Law Of Motion?Newton’s.


Web the average acceleration is the total change in velocity divided by the total time. T ( f) is the final time and t ( i) is the initial time. Therefore, the acceleration of an athlete is 4 m/s2.

Web Acceleration Can Be Positive Or Negative.


Acceleration (a) is the change in velocity (δv) over the change in time (δt), represented by the equation a = δv/δt. Web the average acceleration over a period of time is defined as the total change in velocity in the given interval divided by the total time taken for the change. Web improve your science knowledge with free questions in abbreviate length, speed, and acceleration units and thousands of other science skills.

Web Although Speed And Velocity Are Often Words Used Interchangeably, In Physics, They Are Distinct Concepts.


This allows you to measure how fast velocity. When the acceleration is negative, it is sometimes called deceleration. Even though a bowling ball may experience 100 times the force of a tennis ball, it has 100 times the mass.

Web Velocity And Acceleration 8Th Grade.


Velocity (v) is a vector quantity that measures displacement (or change. V ( f) − v ( i) t ( f) − t ( i) in this acceleration equation, v ( f) is the final velocity while is the v ( i) initial velocity. For example, if the velocity of an object.